Conversation

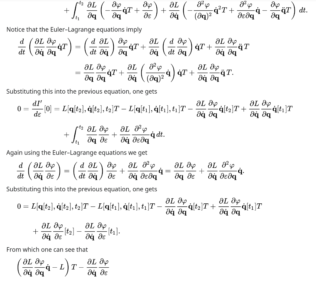
My son casually mentioned that symmetry in the universe causes conservation of energy. I raised a skeptical eyebrow and he was like, "Just check out Noether's theorm on the Wikipedia".

So anyway that clears everything up.

1
0
0